Αυξήθηκαν σε 251 οι απάτητες παραλίες στην Ελλάδα το 2026 που βρίσκονται υπό καθεστώς αυξημένης περιβαλλοντικής προστασίας.
Την Κοινή Υπουργική Απόφαση (ΚΥΑ) με θέμα την: «Τροποποίηση της υπ. αριθμ. ΥΠΕΝ/ΓΔΠΠ/35330/646/02.04.2024 Κοινής Υπουργικής Απόφασης «Όροι και περιορισμοί για τους αιγιαλούς και τις παραλίες υψηλής προστασίας (απάτητες παραλίες)» (Β’ 2364), όπως έχει τροποποιηθεί με την υπ. αριθμ. ΥΠΕΝ/Δ ΔΦΠΒ/68831/1806 (Β΄3734)» υπέγραψαν οι υπουργοί Εθνικής Οικονομίας και Οικονομικών, Κυριάκος Πιερρακάκης και Περιβάλλοντος και Ενέργειας, Σταύρος Παπασταύρου.
Με την εν λόγω απόφαση τροποποιείται προηγούμενη ΚΥΑ για τις «Απάτητες Παραλίες», προκειμένου να βελτιωθεί το πλαίσιο περιβαλλοντικής προστασίας, ενσωματώνοντας νέες παραλίες στη λίστα των Απάτητων Παραλιών, ανεβάζοντας τον αριθμό τους από 238 σε 251.
Με την ανωτέρω τροποποίηση επιδιώκεται η αποτελεσματική προστασία παραλιών, που έχουν ιδιαίτερη αισθητική, γεωμορφολογική ή οικολογική αξία, καθώς και η διατήρηση των τύπων οικοτόπων και των ειδών χλωρίδας και πανίδας που απαντώνται στις συγκεκριμένες παραλίες. Ειδικότερα, αυξάνονται οι αιγιαλοί και παραλίες εντός περιοχών που συμπεριλαμβάνονται στον Εθνικό Κατάλογο Περιοχών του Ευρωπαϊκού Οικολογικού Δικτύου Natura 2000 και στις οποίες απαγορεύεται πλέον η παραχώρηση απλής χρήσης, καθώς και οποιαδήποτε άλλη δράση, που μπορεί να θέσει σε κίνδυνο τη μορφολογία τους και την ακεραιότητά τους ως προς τις οικολογικές τους λειτουργίες.
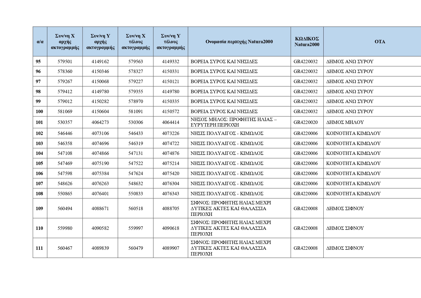
Η λίστα με τις 251 απάτητες παραλίες














